Free Access

Fig. 2

thumbnail

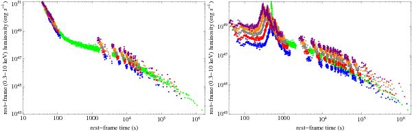
In green we show the rest-frame X-ray luminosity light curve of GRB 090618 in the 0.3−10 keV energy range in comparison with the one of GRB 101023 (left) and GRB 110709B (right), computed for different hypothetical redshifts: respectively, from blue to purple: z = 0.6,0.8,1.0,1.2,1.5 (left) and z = 0.4,0.6,0.8,1.0,1.2 (right). The overlapping at late time of the two X-ray luminosity light curves is obtained for a redshift of z = 0.9 (left) and z = 0.75 (right). For further details see Penacchioni et al. (2012, 2013).

This figure is made of several images, please see below:

Current usage metrics show cumulative count of Article Views (full-text article views including HTML views, PDF and ePub downloads, according to the available data) and Abstracts Views on Vision4Press platform.

Data correspond to usage on the plateform after 2015. The current usage metrics is available 48-96 hours after online publication and is updated daily on week days.

Initial download of the metrics may take a while.