Free Access

Fig. 1

thumbnail

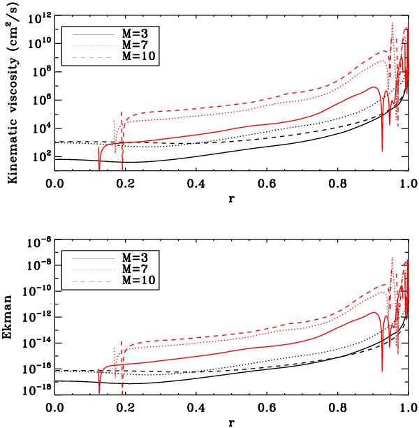
Top: profiles of the radiative (black) and turbulent (red) viscosity as a function of the normalized radius, for three stellar models of ZAMS stars of 3 M, 7 M, and 10 M. Bottom: the associated profiles of the Ekman number ν/2ΩR2 based on the radius of the star and a rotation period of 12 h.

This figure is made of several images, please see below:

Current usage metrics show cumulative count of Article Views (full-text article views including HTML views, PDF and ePub downloads, according to the available data) and Abstracts Views on Vision4Press platform.

Data correspond to usage on the plateform after 2015. The current usage metrics is available 48-96 hours after online publication and is updated daily on week days.

Initial download of the metrics may take a while.