Free Access

Fig. 17

thumbnail

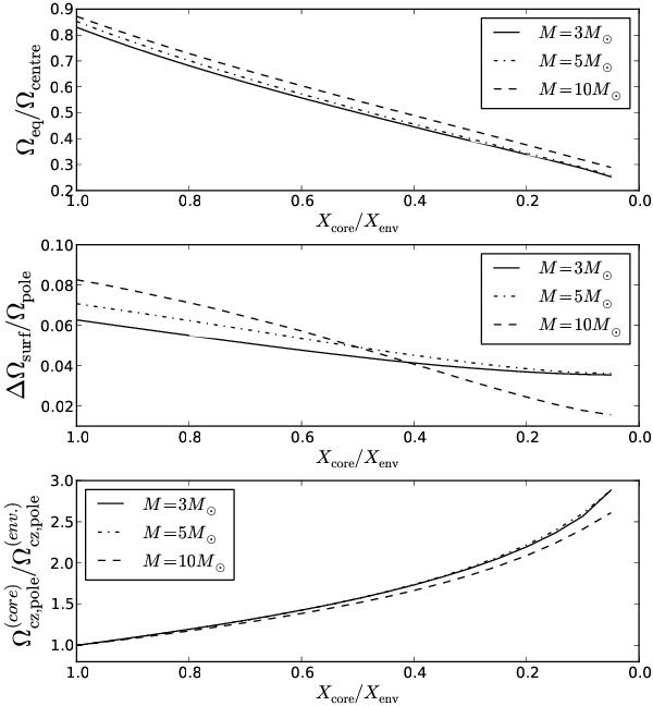
Top: variation in the radial differential rotation with mass fraction of hydrogen in the core. The value in the envelope is held fixed at 0.7, while that of the core is decreased as would be the case when the stars evolve. The angular velocity is half of the break-up: Ωeq = 0.5   Ωk. Middle: same as top but for the surface differential rotation. Bottom: the ratio of the angular velocity at the pole of the core and at the bottom of the envelope on the rotation axis.

Current usage metrics show cumulative count of Article Views (full-text article views including HTML views, PDF and ePub downloads, according to the available data) and Abstracts Views on Vision4Press platform.

Data correspond to usage on the plateform after 2015. The current usage metrics is available 48-96 hours after online publication and is updated daily on week days.

Initial download of the metrics may take a while.