Free Access

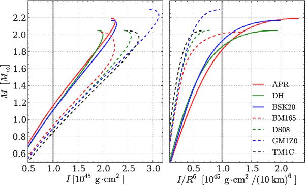
Fig. 6

thumbnail

Left panel: moment of inertia I as a function of gravitational mass M for static solutions. Right panel: moment of inertia I divided by R6 (as used in the estimation of the minimum surface magnetic field of a pulsar) for static stars. Vertical lines correspond to a fiducial model of I = 1045  g   cm2 and 10 km. (Color online.)

Current usage metrics show cumulative count of Article Views (full-text article views including HTML views, PDF and ePub downloads, according to the available data) and Abstracts Views on Vision4Press platform.

Data correspond to usage on the plateform after 2015. The current usage metrics is available 48-96 hours after online publication and is updated daily on week days.

Initial download of the metrics may take a while.