Free Access

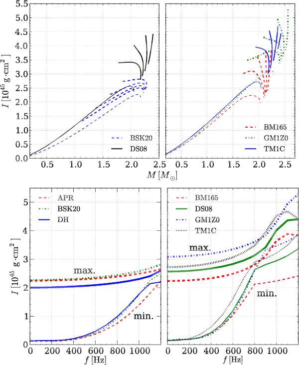
Fig. 7

thumbnail

Top panels: the behavior of I(M) for rotating stars (from left to right f equals 0, 900, 1000, 1100 and 1200 Hz) for hyperonic EOSs and DH EOS for comparison. Bottom panels: allowable range of the moment of inertia for purely nucleonic stars (left) and hyperonic stars (right). Thin (thick) lines correspond to the minimum (maximum) of I that a stable configuration can attain at a given frequency. (Color online).

Current usage metrics show cumulative count of Article Views (full-text article views including HTML views, PDF and ePub downloads, according to the available data) and Abstracts Views on Vision4Press platform.

Data correspond to usage on the plateform after 2015. The current usage metrics is available 48-96 hours after online publication and is updated daily on week days.

Initial download of the metrics may take a while.