Free Access

Fig. 3

thumbnail

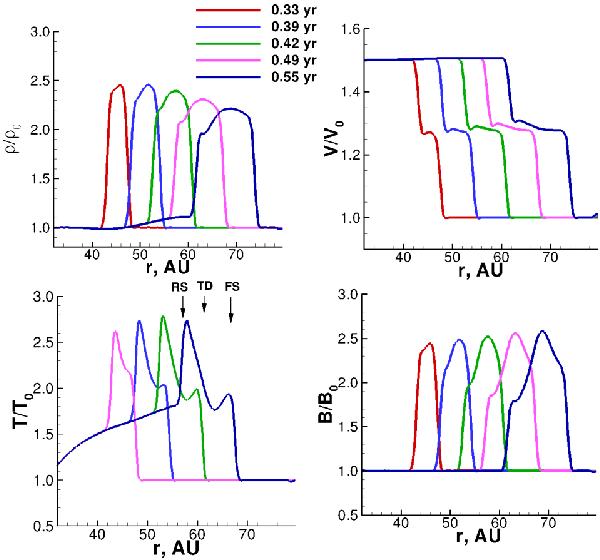
Profiles of normalized density ρ/ρ0, velocity V/V0, temperature T/T0, and magnetic field B/B0 along the Voyager 2 trajectory for different times showing the change in amplitudes of the fluctuations in the interaction region. Here ρ0, V0, T0B0 denote the steady-state solution. Notations: FS – forward shock, TD is the tangential discontinuity; RS – reverse shock.

Current usage metrics show cumulative count of Article Views (full-text article views including HTML views, PDF and ePub downloads, according to the available data) and Abstracts Views on Vision4Press platform.

Data correspond to usage on the plateform after 2015. The current usage metrics is available 48-96 hours after online publication and is updated daily on week days.

Initial download of the metrics may take a while.