Free Access

Fig. 1

thumbnail

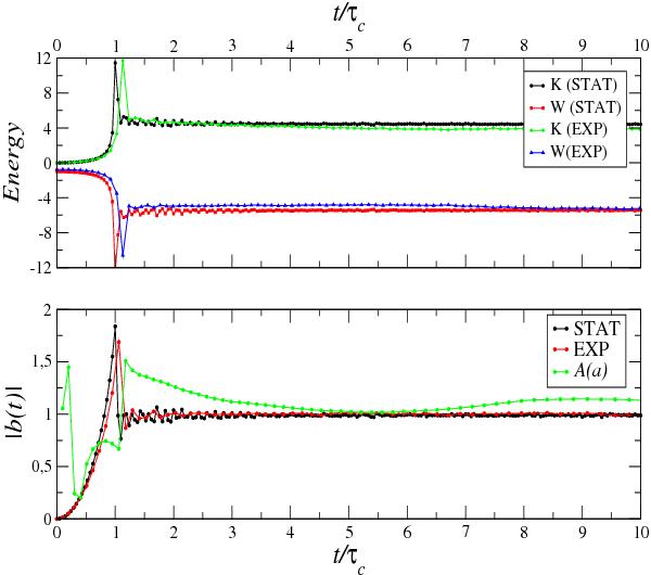
Upper panel: energy in physical coordinates (Kp Eq. (15) and Wp Eq. (16)) normalised to the initial total energy as a function of time (computed by using Eq. (14) for the EXP case), together with the corresponding behaviour of the same system in the STAT case. Bottom panel: virial ratio | b(t) |, together with the LI test (Eq. (26)) for the EXP case.

Current usage metrics show cumulative count of Article Views (full-text article views including HTML views, PDF and ePub downloads, according to the available data) and Abstracts Views on Vision4Press platform.

Data correspond to usage on the plateform after 2015. The current usage metrics is available 48-96 hours after online publication and is updated daily on week days.

Initial download of the metrics may take a while.