Free Access

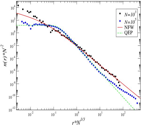
Fig. 16

thumbnail

Density profile in physical coordinates for simulations with 103 and 106 particles, at a = 4.9, renormalised as explained in the text at different values of the expansion factor. The best fit with Eq. (28) (NFW) and Eq. (3) (QEP), respectively for N = 103 and N = 105 are reported as reference.

Current usage metrics show cumulative count of Article Views (full-text article views including HTML views, PDF and ePub downloads, according to the available data) and Abstracts Views on Vision4Press platform.

Data correspond to usage on the plateform after 2015. The current usage metrics is available 48-96 hours after online publication and is updated daily on week days.

Initial download of the metrics may take a while.