Free Access

Fig. 19

thumbnail

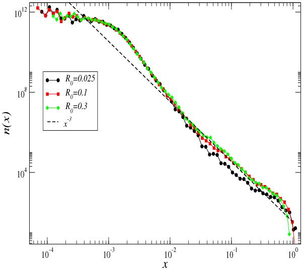
Density profile in comoving coordinates at a = 70 for the simulations with ε = 3.7 × 10-4 and a different value of the initial radius R0 (see labels). A reference line with slope − 4 is plotted as reference.

Current usage metrics show cumulative count of Article Views (full-text article views including HTML views, PDF and ePub downloads, according to the available data) and Abstracts Views on Vision4Press platform.

Data correspond to usage on the plateform after 2015. The current usage metrics is available 48-96 hours after online publication and is updated daily on week days.

Initial download of the metrics may take a while.