Free Access

Fig. 3

thumbnail

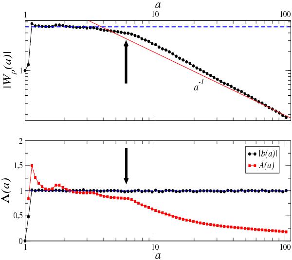
Upper panel: absolute value of the potential energy in physical coordinates Wp(a) (Eq. (16)) as a function of the scale factor. The approximate value of aLI, separating the regime where Wp ≈ const. from the one where | Wp |  ~ a-1, is reported as reference. Bottom panel: LI test (Eq. (26)) and virial ratio (absolute value) for particles with negative energy.

Current usage metrics show cumulative count of Article Views (full-text article views including HTML views, PDF and ePub downloads, according to the available data) and Abstracts Views on Vision4Press platform.

Data correspond to usage on the plateform after 2015. The current usage metrics is available 48-96 hours after online publication and is updated daily on week days.

Initial download of the metrics may take a while.