Free Access

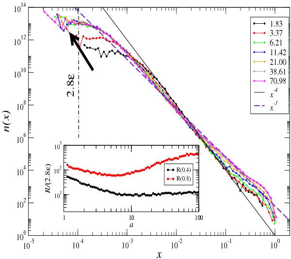
Fig. 4

thumbnail

Evolution of the density profile in comoving coordinates. Two reference lines with slope –4 and –3 are reported as a reference. The arrow shows the direction of the density profile evolution. Inset panel: behaviours in function of the scale factor of the length scale R(0.4) (R(0.8)), including the 40% (80%)of the mass of the virialized structure, normalised to 2.8ε.

Current usage metrics show cumulative count of Article Views (full-text article views including HTML views, PDF and ePub downloads, according to the available data) and Abstracts Views on Vision4Press platform.

Data correspond to usage on the plateform after 2015. The current usage metrics is available 48-96 hours after online publication and is updated daily on week days.

Initial download of the metrics may take a while.