Free Access

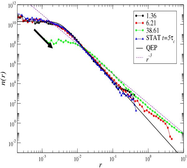
Fig. 5

thumbnail

Density profile in physical coordinates for the simulation M4a at different scale factors a (see labels) together with the density profile for the STAT case. The arrow shows the direction of the density profile evolution in the cosmological case. Further it is shown the best fit given by Eq. (3) (QEP) and a reference line with slope –3.

Current usage metrics show cumulative count of Article Views (full-text article views including HTML views, PDF and ePub downloads, according to the available data) and Abstracts Views on Vision4Press platform.

Data correspond to usage on the plateform after 2015. The current usage metrics is available 48-96 hours after online publication and is updated daily on week days.

Initial download of the metrics may take a while.