Free Access

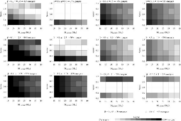
Fig. 4

thumbnail

Percentage (in grey scale given in the legend) of case Br mergers as a function of initial (ZAMS) primary mass and binary mass ratio for different combinations of β and η or α. On top of each figure we also give the overall case Br merger frequency. O+S means that the matter leaving the binary takes with the specific orbital and spin angular momentum of the gainer. If the mass leaves the binary taking with it only the specific orbital angular momentum (label O) of the gainer, there are no mergers. The percentages are calculated assuming a flat orbital period distribution. As outlined in the text, this implies that ~48% of the massive binaries are case Br.

Current usage metrics show cumulative count of Article Views (full-text article views including HTML views, PDF and ePub downloads, according to the available data) and Abstracts Views on Vision4Press platform.

Data correspond to usage on the plateform after 2015. The current usage metrics is available 48-96 hours after online publication and is updated daily on week days.

Initial download of the metrics may take a while.