Free Access

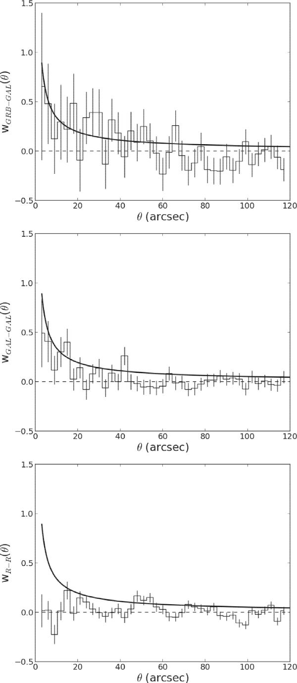
Fig. 5

thumbnail

(Top to bottom) GRB-galaxy, galaxy-galaxy, and random-random two point correlation functions. The solid black line represents the best fit power-law to the COSMOS-30 galaxy-galaxy two-point correlation function, as described in Fig. 6 and in Sect. 4. The random-random two-point correlation function is, as expected, consistent with zero.

Current usage metrics show cumulative count of Article Views (full-text article views including HTML views, PDF and ePub downloads, according to the available data) and Abstracts Views on Vision4Press platform.

Data correspond to usage on the plateform after 2015. The current usage metrics is available 48-96 hours after online publication and is updated daily on week days.

Initial download of the metrics may take a while.