Free Access

Fig. 6

thumbnail

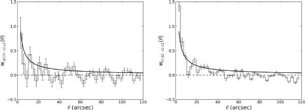
(Left to right) AGN-galaxy and galaxy-galaxy two-point correlation functions computed from the COSMOS photometric catalog. To approximate the GROND sample selection and completeness, only sources with KAB < 19.3 are included. The best fit power-law of the first 14 bins (0 ≤ θ ≤ 42′′) of the galaxy-galaxy two-point correlation function is represented by the solid black line. The same fit is used in both figures for comparison.

Current usage metrics show cumulative count of Article Views (full-text article views including HTML views, PDF and ePub downloads, according to the available data) and Abstracts Views on Vision4Press platform.

Data correspond to usage on the plateform after 2015. The current usage metrics is available 48-96 hours after online publication and is updated daily on week days.

Initial download of the metrics may take a while.