Free Access

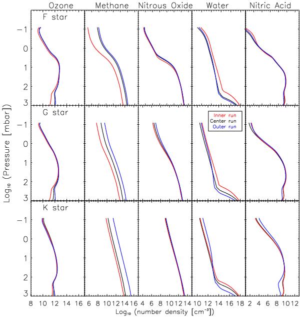
Fig. 2

thumbnail

Pressure–concentration profiles of five prominent spectral species of the Earth-like planets around different central stars (upper row: F-type star, center row: G-type star, lower row: K-type star). Columns from left to right show profiles of O3, CH4, N2O, H2O and HNO3. The orbital distance is indicated by colors as in Fig. 1. Note that CO2 is set to an isoprofile of 355 ppm and hence not shown.

Current usage metrics show cumulative count of Article Views (full-text article views including HTML views, PDF and ePub downloads, according to the available data) and Abstracts Views on Vision4Press platform.

Data correspond to usage on the plateform after 2015. The current usage metrics is available 48-96 hours after online publication and is updated daily on week days.

Initial download of the metrics may take a while.