Free Access

Fig. 6

thumbnail

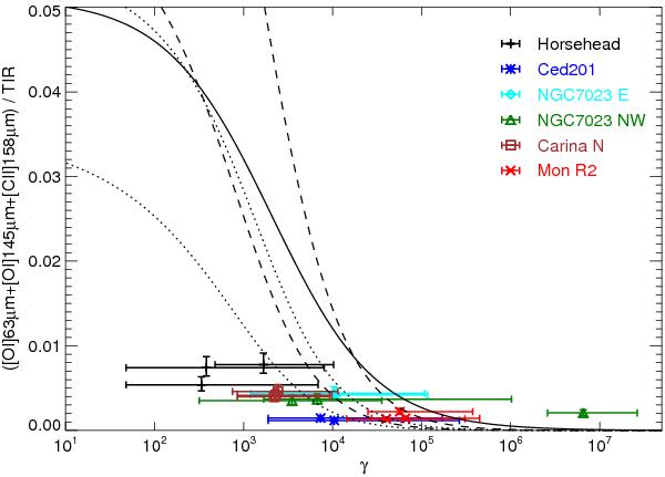
ϵpe = ([O i] 63 μm + [O i] 145 μm + [C ii] 158 μm)/TIR versus the charging parameter (γ = G0T1/2/ne). Solid line is the theoretical calculation from Bakes & Tielens (1994), dashed lines are that from Weingartner & Draine (2001b) for RV = 3.1 (105bC = 0.0 and 6.0 for the lower and upper line), dotted lines are for RV = 5.5 with Case A (105bC = 0.0 and 3.0 for the lower and upper line; see text).

Current usage metrics show cumulative count of Article Views (full-text article views including HTML views, PDF and ePub downloads, according to the available data) and Abstracts Views on Vision4Press platform.

Data correspond to usage on the plateform after 2015. The current usage metrics is available 48-96 hours after online publication and is updated daily on week days.

Initial download of the metrics may take a while.