Free Access

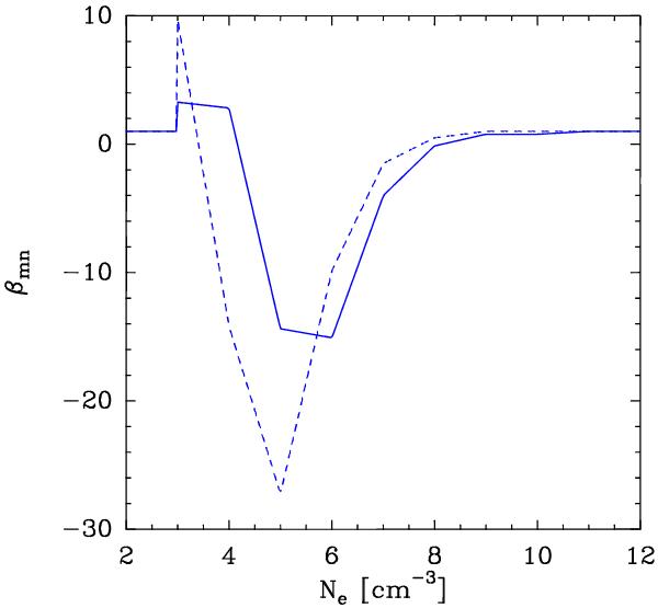
Fig. 13

thumbnail

Estimated βmn coefficients for an ionized gas with electron temperature of 104 K for electron densities between 102 and 1012 cm-3. The solid and dashed lines show the βmn values derived by Storey & Hummer (1995) for H30α and H38β transitions, respectively. We note that the H38β lines thermalize at electron densities lower than for H30α lines.

Current usage metrics show cumulative count of Article Views (full-text article views including HTML views, PDF and ePub downloads, according to the available data) and Abstracts Views on Vision4Press platform.

Data correspond to usage on the plateform after 2015. The current usage metrics is available 48-96 hours after online publication and is updated daily on week days.

Initial download of the metrics may take a while.