Free Access

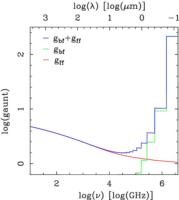
Fig. A.1

thumbnail

Gaunt factor values for free-free and bound-free transitions and total Gaunt factor (gff, gfb and gff + gfb respectively) for frequencies between 10 and 4 × 106 GHz. We assumed a temperature of 10 000 K.

Current usage metrics show cumulative count of Article Views (full-text article views including HTML views, PDF and ePub downloads, according to the available data) and Abstracts Views on Vision4Press platform.

Data correspond to usage on the plateform after 2015. The current usage metrics is available 48-96 hours after online publication and is updated daily on week days.

Initial download of the metrics may take a while.