Free Access

Fig. 28

thumbnail

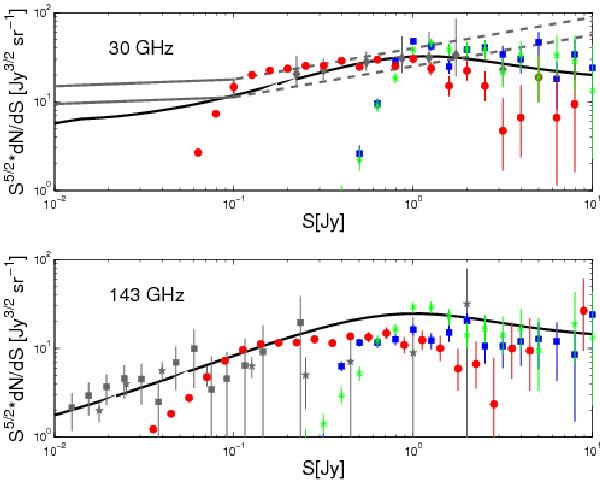
Similar to 26, but with additional green points showing the counts of WMAP radio sources as represented in our model. The solid black curve shows the total number counts of extragalactic radio sources as predicted by the updated model of de Zotti et al. (2005).

Current usage metrics show cumulative count of Article Views (full-text article views including HTML views, PDF and ePub downloads, according to the available data) and Abstracts Views on Vision4Press platform.

Data correspond to usage on the plateform after 2015. The current usage metrics is available 48-96 hours after online publication and is updated daily on week days.

Initial download of the metrics may take a while.