Free Access

Fig. 27

thumbnail

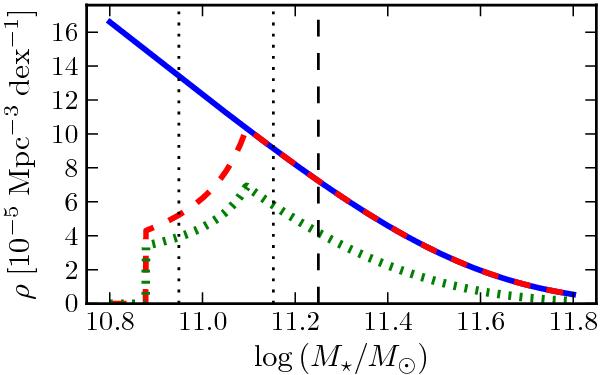
Number density distribution from the different functions in Eq. (11) at z = 1. The solid line is the stellar mass function (Φ) multiplied by the major merger rate (RMM). The dashed line includes the major merger efficiency function (EMM). The dotted line includes the fraction of late-type galaxies (fLTG) and provides the final function that we integrate over stellar mass and cosmic time to obtain ρwet. The vertical dashed line marks the limiting stellar mass that define massive galaxies, M, lim = 1011.25  M, while the dotted lines mark the stellar masses M  ,1 = 1010.15  M and M  ,2 = 1011.05  M when fsf = 0 (see text for details). (A colour version of this plot is available at the electronic edition.)

Current usage metrics show cumulative count of Article Views (full-text article views including HTML views, PDF and ePub downloads, according to the available data) and Abstracts Views on Vision4Press platform.

Data correspond to usage on the plateform after 2015. The current usage metrics is available 48-96 hours after online publication and is updated daily on week days.

Initial download of the metrics may take a while.