Free Access

Fig. 3

thumbnail

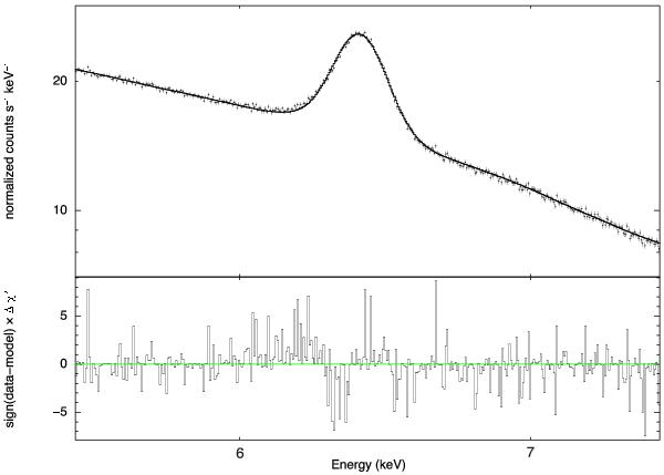
Top panel: extract in the 5.5–7.5 keV region of a spectrum simulated using the model of Ikeda et al. (2009). The model has a torus with a half-opening angle of θOA = 46.2° (equivalent to log LX = 42.7, according to the relationship of Hasinger 2008), an equatorial column density of , and an inclination angle of θ i = 1°. The continuous line represents the fit to the simulated spectrum using for the continuum the same model we used for the simulations and a Gaussian line for the iron Kα fluorescent line. Bottom panel: contribution to the chi-squared for the best fit to the simulated spectrum.

Current usage metrics show cumulative count of Article Views (full-text article views including HTML views, PDF and ePub downloads, according to the available data) and Abstracts Views on Vision4Press platform.

Data correspond to usage on the plateform after 2015. The current usage metrics is available 48-96 hours after online publication and is updated daily on week days.

Initial download of the metrics may take a while.