Free Access

Fig. A.1

thumbnail

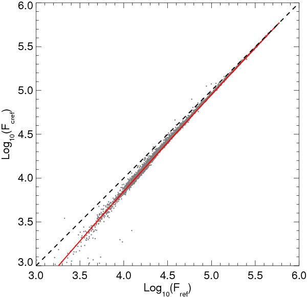
Plot of the reference image fluxes computed with a circular aperture (Fref) versus the same reference image computed with the kernel-convolved aperture A ⊗ K (Fcref). The fitted curve is shown in red, as well as the ideal linear trend (dashed line).

Current usage metrics show cumulative count of Article Views (full-text article views including HTML views, PDF and ePub downloads, according to the available data) and Abstracts Views on Vision4Press platform.

Data correspond to usage on the plateform after 2015. The current usage metrics is available 48-96 hours after online publication and is updated daily on week days.

Initial download of the metrics may take a while.