Free Access

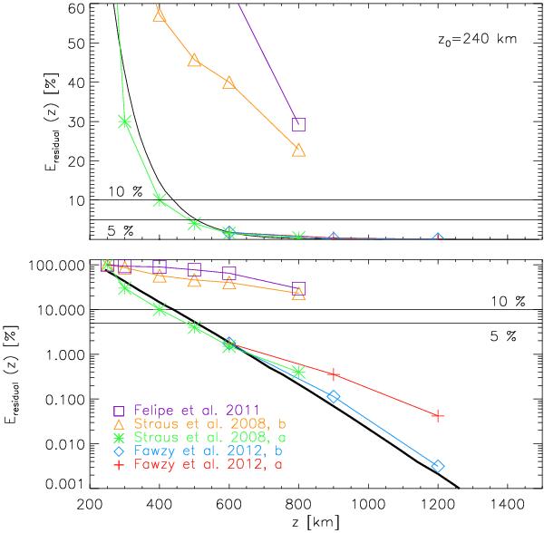
Fig. 7

thumbnail

Residual of an energy input of 100 % at a height of 240 km (black-solid line). Top: linear scale. Bottom: logarithmic scale. The red pluses and blue diamonds give the corresponding values of FA12 for a high (case a) and low (case b) magnetic fill factor. The green asterisks give the values of ST08 for acoustic waves (case a), the orange triangles those of gravity waves (case b). The purple squares were taken from Felipe et al. (2011) and pertain to magneto-acoustic waves in a sunspot umbra.

Current usage metrics show cumulative count of Article Views (full-text article views including HTML views, PDF and ePub downloads, according to the available data) and Abstracts Views on Vision4Press platform.

Data correspond to usage on the plateform after 2015. The current usage metrics is available 48-96 hours after online publication and is updated daily on week days.

Initial download of the metrics may take a while.