Free Access

Fig. 3

thumbnail

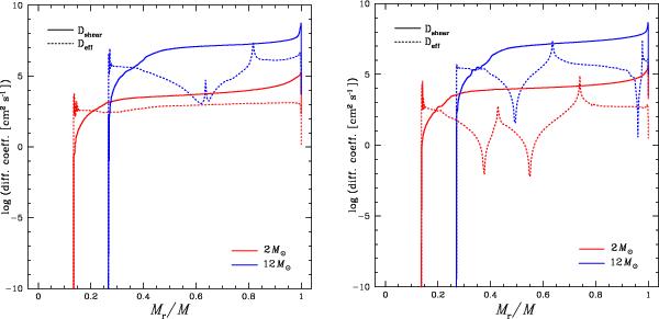
Diffusion coefficients profiles for a 2 (red curves) and a 12 M model (blue curves) at Z = Z(left panel) and Z = ZSMC(right panel). The effective diffusion coefficient Deff (accounting for the effects of the meridional circulation on the chemical species) is plotted in dashed lines, and the shear mixing diffusion coefficient in solid lines.

Current usage metrics show cumulative count of Article Views (full-text article views including HTML views, PDF and ePub downloads, according to the available data) and Abstracts Views on Vision4Press platform.

Data correspond to usage on the plateform after 2015. The current usage metrics is available 48-96 hours after online publication and is updated daily on week days.

Initial download of the metrics may take a while.