Free Access

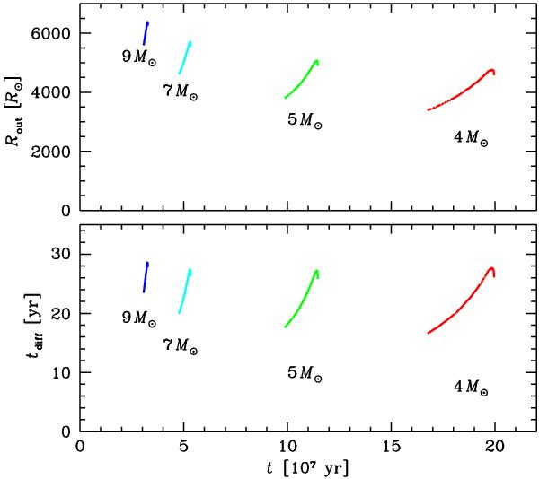
Fig. 7

thumbnail

Evolution of the radius and diffusion time of the disk as a function of time for critically rotating models with an initial mass between 4 and 9 M at solar metallicity.

Current usage metrics show cumulative count of Article Views (full-text article views including HTML views, PDF and ePub downloads, according to the available data) and Abstracts Views on Vision4Press platform.

Data correspond to usage on the plateform after 2015. The current usage metrics is available 48-96 hours after online publication and is updated daily on week days.

Initial download of the metrics may take a while.