Free Access

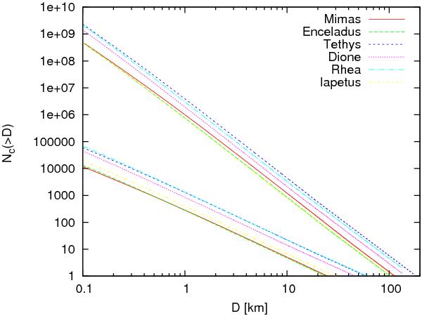
Fig. 1

thumbnail

Cumulative number of craters with diameters greater than D produced by Centaurs from SDOs. The upper lines correspond to the differential power-law index s2 = 3.5, the lower lines to s2 = 2.5.

Current usage metrics show cumulative count of Article Views (full-text article views including HTML views, PDF and ePub downloads, according to the available data) and Abstracts Views on Vision4Press platform.

Data correspond to usage on the plateform after 2015. The current usage metrics is available 48-96 hours after online publication and is updated daily on week days.

Initial download of the metrics may take a while.