Free Access

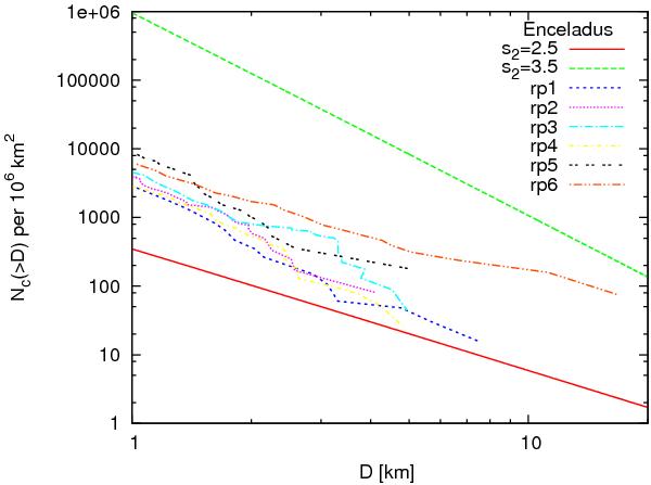
Fig. 4

thumbnail

Cumulative number of craters calculated from our model with the two values of the differential power-law index s2 and the observed cumulative number of craters taken from Fig. 6 of KS09.

Current usage metrics show cumulative count of Article Views (full-text article views including HTML views, PDF and ePub downloads, according to the available data) and Abstracts Views on Vision4Press platform.

Data correspond to usage on the plateform after 2015. The current usage metrics is available 48-96 hours after online publication and is updated daily on week days.

Initial download of the metrics may take a while.