Free Access

Fig. 1

thumbnail

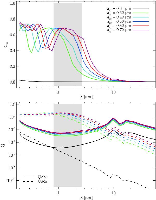
Optical properties of spherical Mg2SiO4 grains as a function of wavelength, calculated for grain radii varying between 0.3–0.7   μm, as well as grains in the small particle limit (agr = 0.01   μm, black curves). These properties were calculated from optical data by Jäger et al. (2003), using Mie theory. The shaded area marks the region where most of the stellar flux is emitted. Top panel: the asymmetry factor gsca. Bottom panel: the absorption and scattering efficiencies, Qabs and Qsca, here smoothed to avoid unrealistic resonances inherent to Mie theory.

Current usage metrics show cumulative count of Article Views (full-text article views including HTML views, PDF and ePub downloads, according to the available data) and Abstracts Views on Vision4Press platform.

Data correspond to usage on the plateform after 2015. The current usage metrics is available 48-96 hours after online publication and is updated daily on week days.

Initial download of the metrics may take a while.