Free Access

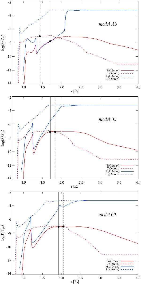
Fig. 9

thumbnail

Abundance of TiO (red) and H2O (blue) as a function of distance from the star for the models A3, B3 and C1, during minimum (dashed lines) and maximum (solid lines) luminosity. The vertical lines mark the average distance where τ = 2/3 for the V band during minimum (dashed line) and maximum (solid line) luminosity. Since TiO features dominate in the visual wavelength region the black circles mark the abundance of interest for the V band (note that H2O does not contribute to this band).

This figure is made of several images, please see below:

Current usage metrics show cumulative count of Article Views (full-text article views including HTML views, PDF and ePub downloads, according to the available data) and Abstracts Views on Vision4Press platform.

Data correspond to usage on the plateform after 2015. The current usage metrics is available 48-96 hours after online publication and is updated daily on week days.

Initial download of the metrics may take a while.