Free Access

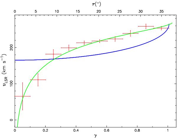
Fig. 6

thumbnail

Mean radial velocity versus projected radius for the near-side of N 49. The non-dimensional variable γ is defined as the ratio between the projected distance from the centre and the radius of the remnant. The blue line shows that the functional dependence with γ of Eq. (3) is unsuitable for fitting the data. The green line is the best fitting of Eq. (8).

Current usage metrics show cumulative count of Article Views (full-text article views including HTML views, PDF and ePub downloads, according to the available data) and Abstracts Views on Vision4Press platform.

Data correspond to usage on the plateform after 2015. The current usage metrics is available 48-96 hours after online publication and is updated daily on week days.

Initial download of the metrics may take a while.