Free Access

Fig. 6

thumbnail

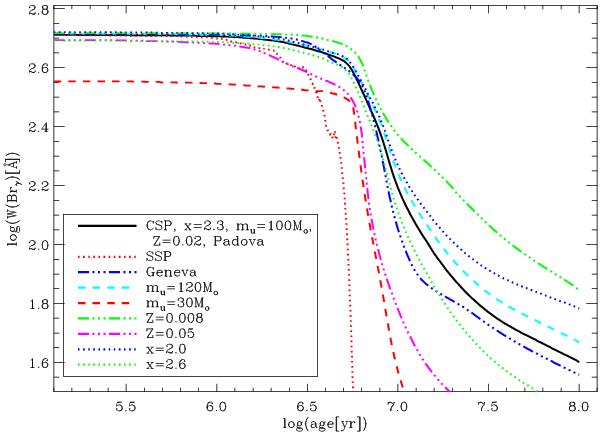
Equivalent width of Brγ as a function of age according to SB99 models. The base model parameters/input are defined by continuous star formation (CSP), Kroupa IMF with upper mass mu = 100   M, metallicity Z = 0.02 and Padova tracks (continuous black line). In the following models, all parameters/input of the base model are kept, except for one variable replacement: simple stellar populations (SSP) (dotted red line); Geneva tracks (dot-dashed blue line); upper mass mu = 120   M (dashed cyan line); upper mass mu = 30   M (dashed red line); metallicity Z = 0.008 (dot-dashed green line); metallicity Z = 0.05 (dot-dashed magenta line); Kroupa IMF with upper slope x = 2.0 (dotted blue line); Kroupa IMF with upper slope x = 2.6 (dotted green line).

Current usage metrics show cumulative count of Article Views (full-text article views including HTML views, PDF and ePub downloads, according to the available data) and Abstracts Views on Vision4Press platform.

Data correspond to usage on the plateform after 2015. The current usage metrics is available 48-96 hours after online publication and is updated daily on week days.

Initial download of the metrics may take a while.