Free Access

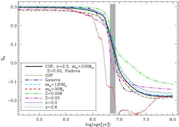
Fig. 7

thumbnail

Reddening-free parameter as a function of age according to SB99 models. The model parameters/input are defined as in Fig. 6. The grey area represents the age (and uncertainty) estimate for the evolutionary transition between young clusters with nebular emission and older clusters without nebular emission.

Current usage metrics show cumulative count of Article Views (full-text article views including HTML views, PDF and ePub downloads, according to the available data) and Abstracts Views on Vision4Press platform.

Data correspond to usage on the plateform after 2015. The current usage metrics is available 48-96 hours after online publication and is updated daily on week days.

Initial download of the metrics may take a while.