Free Access

Fig. 4

thumbnail

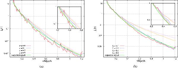
a) Comparison between different choices for the weights α of the penalty function in the reconstruction of the X-ray emissivity with constant smoothing scale L = 0.3h-1Mpc. The expected result based on Eq. (10) is plotted for reference, whereas α = 0.0 corresponds to no regularisation. b) Comparison between different choices of the smoothing scale of the regularisation function in the reconstruction of the X-ray emissivity and α = 0.4. The expected result is plotted for reference.

Current usage metrics show cumulative count of Article Views (full-text article views including HTML views, PDF and ePub downloads, according to the available data) and Abstracts Views on Vision4Press platform.

Data correspond to usage on the plateform after 2015. The current usage metrics is available 48-96 hours after online publication and is updated daily on week days.

Initial download of the metrics may take a while.