Free Access

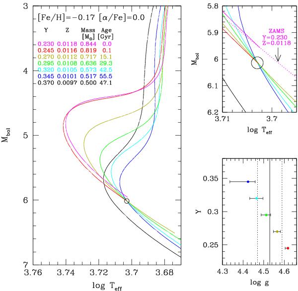
Fig. 1

thumbnail

Method for determining the FSPs, as applied in this case to a star with (log Teff, Mbol)star = (3.7,6.0). Left panel: first, for each star with a given [Fe/H], the masses and Ages of evolutionary tracks (continuous lines) are determined for a group of helium abundances (maintaining [Fe/H] constant) at the desired point. Upper-right panel: zoom-in of the left panel. Next, the helium abundances with reliable matches are selected. In this case, two Y values are disregarded i) Y = 0.230, because the star is fainter than the ZAMS for this helium abundance (dotted line); and ii) Y = 0.370, since a mass lower than 0.5 M (the lower mass limit of the set of tracks) is required to pass through the point (log Teff, Mbol)star. Lower-right panel: since Y displays an almost linear dependence with log 1 at the given (log Teff, Mbol)star point, Y can be determined using the spectroscopic 1 value. The continuous and dotted vertical lines represent the spectroscopic log 1 value of the test star and its error, respectively. Dots represent the theoretical log 1 value at the point (log Teff, Mbol)star for each Y value, and their errors are obtained assuming errors in Teff and Mbol of σTeff =  ± 50 K and σMbol =  ± 0.05 mag, respectively.

Current usage metrics show cumulative count of Article Views (full-text article views including HTML views, PDF and ePub downloads, according to the available data) and Abstracts Views on Vision4Press platform.

Data correspond to usage on the plateform after 2015. The current usage metrics is available 48-96 hours after online publication and is updated daily on week days.

Initial download of the metrics may take a while.