Fig. 6

thumbnail

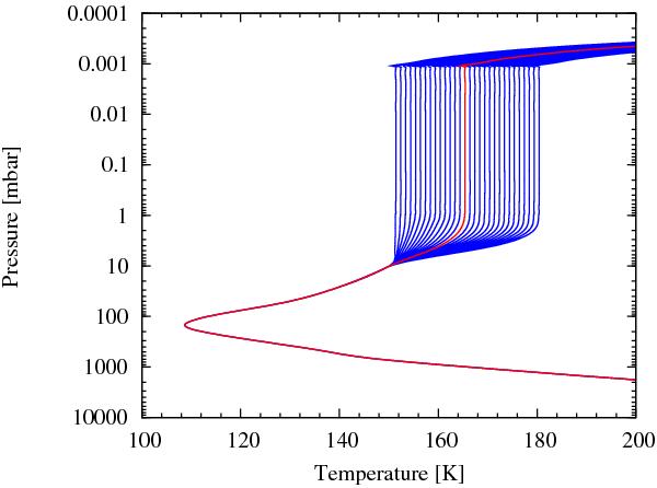
Examples of temperature profiles used in this study. Our nominal profile is displayed in red. The thermal profiles displayed in blue correspond to cases in which the temperature at pressures lower than 2 mbar is increased or decreased with 1-K steps from −14 to +15 K. The deviations from our nominal thermal profile are initiated at 10 mbar to smooth the transition from the nominal profile at higher pressures toward the modified thermal profile at lower pressures.

Current usage metrics show cumulative count of Article Views (full-text article views including HTML views, PDF and ePub downloads, according to the available data) and Abstracts Views on Vision4Press platform.

Data correspond to usage on the plateform after 2015. The current usage metrics is available 48-96 hours after online publication and is updated daily on week days.

Initial download of the metrics may take a while.