Free Access

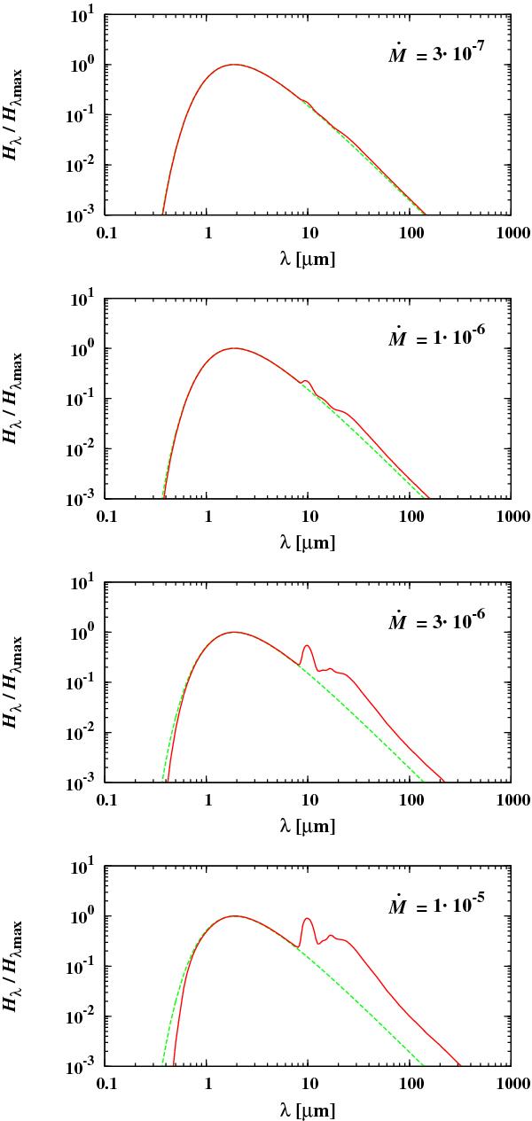
Fig. 9

thumbnail

Synthetic spectra of models of circumstellar dust shells with solid silicon monoxide dust particles for different mass-loss rates from  = 3 × 10-7  M yr-1 to  = 1 × 10-5  M yr-1. Dotted line: stellar radiation.

This figure is made of several images, please see below:

Current usage metrics show cumulative count of Article Views (full-text article views including HTML views, PDF and ePub downloads, according to the available data) and Abstracts Views on Vision4Press platform.

Data correspond to usage on the plateform after 2015. The current usage metrics is available 48-96 hours after online publication and is updated daily on week days.

Initial download of the metrics may take a while.