Free Access

Fig. 1

thumbnail

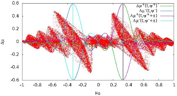
Result of a toy model wave-particle resonance after two gyration periods with a wave amplitude of δB/B0 = 0.1. The pitch-angle scattering is presented in terms of change in Δμ dependent on the particles intial μ0. Each dot represents an individual particle. The theoretical, quasilinear prediction of the maximal change in μ by Eq. (32) deviates clearly from the observed scattering. This type of plot is hereafter denoted as scatter plot.

Current usage metrics show cumulative count of Article Views (full-text article views including HTML views, PDF and ePub downloads, according to the available data) and Abstracts Views on Vision4Press platform.

Data correspond to usage on the plateform after 2015. The current usage metrics is available 48-96 hours after online publication and is updated daily on week days.

Initial download of the metrics may take a while.