Free Access

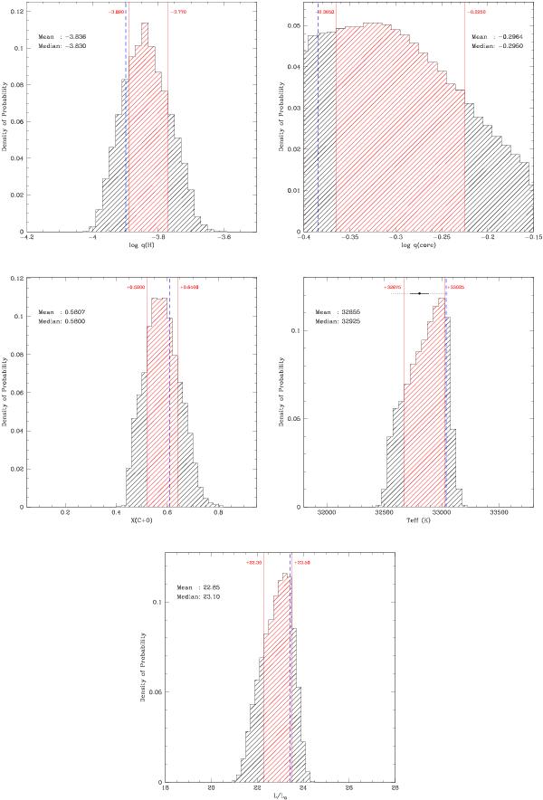
Fig. 9

thumbnail

Probability density functions derived from asteroseismology for the parameters loq q(H), log q(core), Xcore(C+O), Teff, and L/L. The red-hatched regions between the two vertical solid red lines shows the 1σ range containing 68.3% of the distribution. The blue vertical dashed line corresponds to the value of the optimal model. In the panel showing the distribution for Teff, the filled circle is the spectroscopic value with its 1σ (solid horizontal line) and 3σ (dotted horizontal line) uncertainties.

Current usage metrics show cumulative count of Article Views (full-text article views including HTML views, PDF and ePub downloads, according to the available data) and Abstracts Views on Vision4Press platform.

Data correspond to usage on the plateform after 2015. The current usage metrics is available 48-96 hours after online publication and is updated daily on week days.

Initial download of the metrics may take a while.