Free Access

Fig. 13

thumbnail

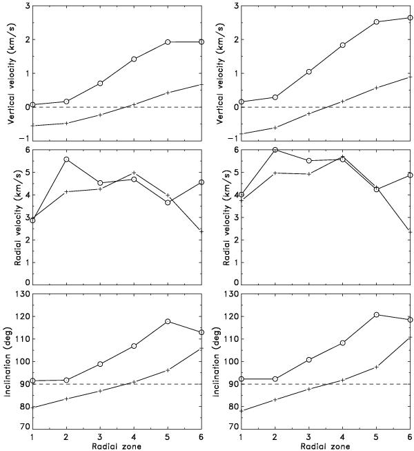
Average flow properties of opposite polarity patches in the penumbra, obtained by making azimuthal fits of the inferred LOS velocities at τc = 0.95 within the red patches (circles), and for all other (i.e., excluding the opposite polarity field) intra-spine pixels (plus symbols) shown in Fig. 11. The left column shows the results obtained with inversions using 2 nodes for the LOS velocity, the right column with 3 nodes. The penumbra is divided into 6 radial zones, where zone 1 corresponds to the innermost penumbra. On the average, the opposite polarity patches show genuine downflows throughout the penumbra, corresponding to a downflow of 0.6–1.3 km s-1 relative to the average of all intra-spine pixels, and an increased inclination by 10–20°, compared to the intra-spines. The radial outflow velocity of the opposite polarity field is similar to that of other intra-spine pixels.

This figure is made of several images, please see below:

Current usage metrics show cumulative count of Article Views (full-text article views including HTML views, PDF and ePub downloads, according to the available data) and Abstracts Views on Vision4Press platform.

Data correspond to usage on the plateform after 2015. The current usage metrics is available 48-96 hours after online publication and is updated daily on week days.

Initial download of the metrics may take a while.