Free Access

Fig. 1

thumbnail

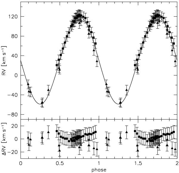
Radial velocity plotted against orbital phase of ASAS 10232. The RV data was folded with the period measured from the SuperWASP lightcurve. The RVs were determined from ESO-NTT/EMMI spectra (triangle) and Gemini/GMOS spectra (rectangular). The errors are formal 1σ uncertainties. The GMOS-RVs were shifted systematically to fit to the EMMI results.

Current usage metrics show cumulative count of Article Views (full-text article views including HTML views, PDF and ePub downloads, according to the available data) and Abstracts Views on Vision4Press platform.

Data correspond to usage on the plateform after 2015. The current usage metrics is available 48-96 hours after online publication and is updated daily on week days.

Initial download of the metrics may take a while.