Free Access

Fig. 29

thumbnail

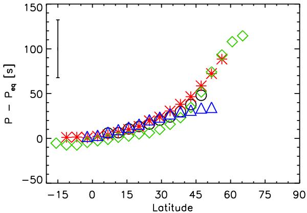
Relative rotation periods at different latitudes measured from different chemical elements: Y ii measurements are marked with (blue) triangles, Sr ii with (red) asterisk, Ti ii with (green) diamonds, and Cr ii with (black) circles. The relative rotation periods at different latitudes obtained from different elements are remarkably similar. The average errorbar of the measurements is given in the upper left corner.

Current usage metrics show cumulative count of Article Views (full-text article views including HTML views, PDF and ePub downloads, according to the available data) and Abstracts Views on Vision4Press platform.

Data correspond to usage on the plateform after 2015. The current usage metrics is available 48-96 hours after online publication and is updated daily on week days.

Initial download of the metrics may take a while.