Free Access

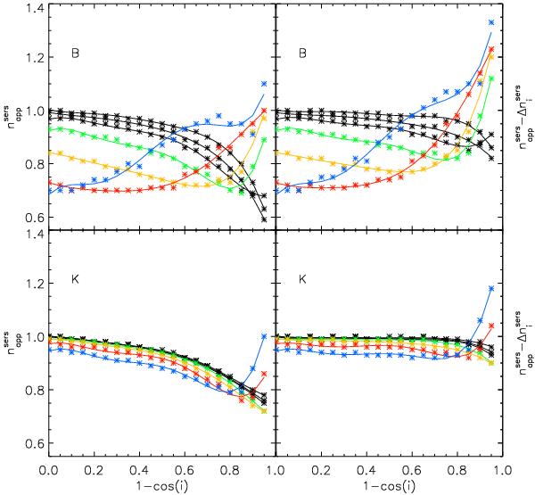
Fig. 11

thumbnail

Left panels: the inclination dependence of the derived Sérsic index for disks fitted with Sérsic functions, due to combined dust and projection effects. The symbols represent the measurements while the solid lines are polynomial fits to the measurements. Right panels: the same but corrected for projection effects (). Upper panels are for the B-band and lower panels are for the K-band. From top to bottom, the curves are plotted for , 0.3, 0.5 (black), 1.0 (green), 2.0 (orange), 4.0 (red), and 8.0 (blue).

Current usage metrics show cumulative count of Article Views (full-text article views including HTML views, PDF and ePub downloads, according to the available data) and Abstracts Views on Vision4Press platform.

Data correspond to usage on the plateform after 2015. The current usage metrics is available 48-96 hours after online publication and is updated daily on week days.

Initial download of the metrics may take a while.