Free Access

Fig. 2

thumbnail

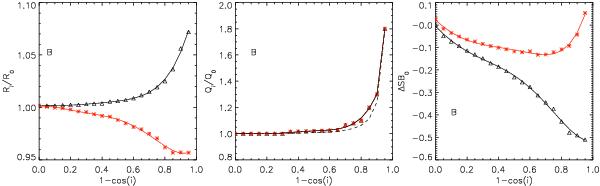
Projection effects corrproj on the derived B-band photometric parameters of disks fitted with exponential functions (black) and with Sérsic functions (red): scale-lengths, axis-ratios, and central surface brightnesses. The symbols represent the measurements while the solid lines are polynomial fits to the measurements.The plots represent the inclination dependence of left − the ratio between the intrinsic scale-lengths, Ri, and the intrinsic (radial) scale-length of the volume stellar emissivity, R0; middle − the ratio between the intrinsic axis-ratio, Qi, and the axis-ratio of an infinitely thin disk, Q0; with the dashed line we overplotted the analytic formula from Driver et al. (2007), which is a modification of the Hubble formula from Hubble (1926), to take into acount the thickness of the disk; right − the ratio between the central surface brightness of the fitted images and of the coresponding simulated images, ΔSB0, expressed in magnitudes. In the case of a Sérsic fit, Ri (left panel) is the equivalent intrinsic scale-length, calculated from the derived intrinsic Sérsic effective radius, , using the relation (which is an exact transformation only for nsers = 1).

Current usage metrics show cumulative count of Article Views (full-text article views including HTML views, PDF and ePub downloads, according to the available data) and Abstracts Views on Vision4Press platform.

Data correspond to usage on the plateform after 2015. The current usage metrics is available 48-96 hours after online publication and is updated daily on week days.

Initial download of the metrics may take a while.