Free Access

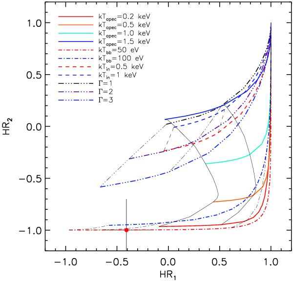
Fig. A.1

thumbnail

Hardness-ratio diagram of source No. 91 observed with XMM-Newton. Thick lines are different spectral models as function of the NH, thin lines are different column densities NH (from left to right: 1020, 1021, 1022 cm-2) as a function of the spectral parameters.

Current usage metrics show cumulative count of Article Views (full-text article views including HTML views, PDF and ePub downloads, according to the available data) and Abstracts Views on Vision4Press platform.

Data correspond to usage on the plateform after 2015. The current usage metrics is available 48-96 hours after online publication and is updated daily on week days.

Initial download of the metrics may take a while.