Free Access

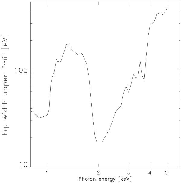
Fig. 8

thumbnail

For the 20 s exposure (see Fig. 7), this graph shows the upper limits of an absorption edge as a function of photon energy.

Current usage metrics show cumulative count of Article Views (full-text article views including HTML views, PDF and ePub downloads, according to the available data) and Abstracts Views on Vision4Press platform.

Data correspond to usage on the plateform after 2015. The current usage metrics is available 48-96 hours after online publication and is updated daily on week days.

Initial download of the metrics may take a while.