Free Access

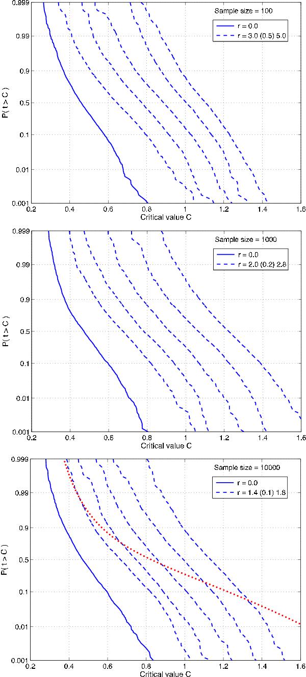
Fig. 3

thumbnail

Examples of probability plots for the test statistic t(x) obtained in Monte-Carlo simulations for sample sizes N = 102, 103, and 104 (top to bottom). In each diagram the solid curve shows, as a function of the critical value C, the probability that t exceeds C under the null hypothesis (r = 0). The dashed curves show the probabilities under the alternative hypothesis (r > 0) for the r-values indicated in the legend. In the bottom diagram the dotted curve gives, for comparison, the expected distribution of for a one-sample K–S test in which F is the true distribution (without adjusting μ and σ); see footnote 3.

Current usage metrics show cumulative count of Article Views (full-text article views including HTML views, PDF and ePub downloads, according to the available data) and Abstracts Views on Vision4Press platform.

Data correspond to usage on the plateform after 2015. The current usage metrics is available 48-96 hours after online publication and is updated daily on week days.

Initial download of the metrics may take a while.