Free Access

Fig. 3

thumbnail

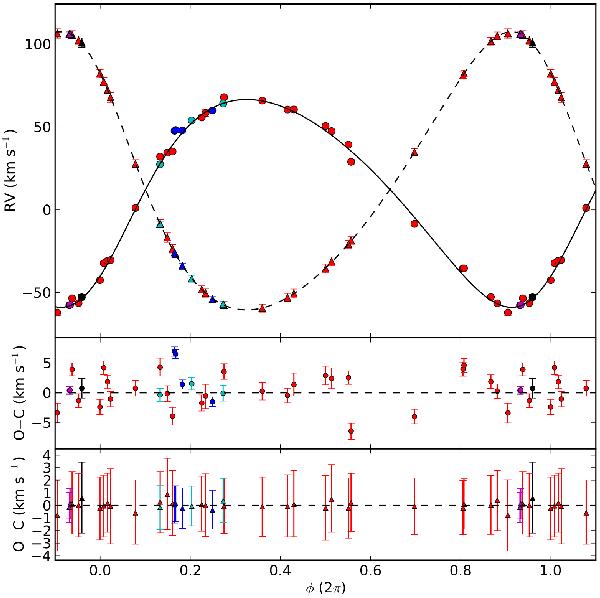
(Upper panel) Spectroscopic orbital solution for KIC 4931738 (solid line: primary, dashed line: secondary) and the measured radial velocities. Filled circles indicate measurements of the primary, filled triangles denote measurements of the secondary component using HERMES (red markers), FIES (blue markers), HAMILTON (cyan markers), ARCES (magenta markers), and Isis (black markers). (Middle panel) Residuals of the primary component. (Lower panel) Residuals of the secondary component.

Current usage metrics show cumulative count of Article Views (full-text article views including HTML views, PDF and ePub downloads, according to the available data) and Abstracts Views on Vision4Press platform.

Data correspond to usage on the plateform after 2015. The current usage metrics is available 48-96 hours after online publication and is updated daily on week days.

Initial download of the metrics may take a while.