Free Access

Fig. 7

thumbnail

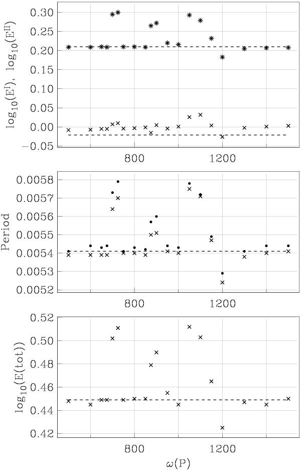
Parametric resonance: notation as in Fig. 4. The middle panel now includes the periods of oscillations in the upper layer II (shown by small solid circles). The dashed horizontal lines are values for the unperturbed model. The period of the total energy is plotted by solid dots in the middle panel. In each panel, quantities are plotted a functions of ω(P).

Current usage metrics show cumulative count of Article Views (full-text article views including HTML views, PDF and ePub downloads, according to the available data) and Abstracts Views on Vision4Press platform.

Data correspond to usage on the plateform after 2015. The current usage metrics is available 48-96 hours after online publication and is updated daily on week days.

Initial download of the metrics may take a while.