Free Access

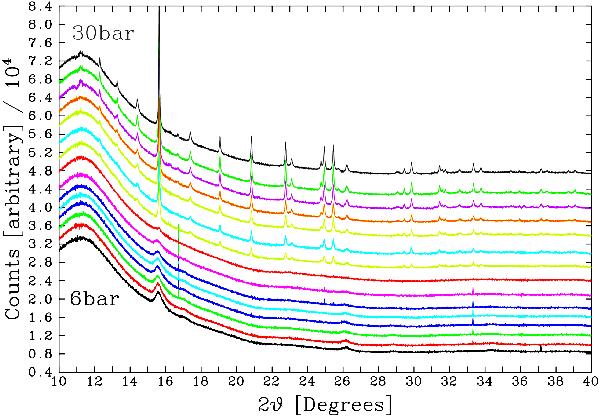
Fig. 5

thumbnail

Evolution of CaSiO3 in quartz capillary with increasing pressure of CO2. Patterns have been offset on the y-axis for clarity and high backround is due to the quartz capillary. Pressure increases upwards from 6 bar to a maximum of 30 bar.

Current usage metrics show cumulative count of Article Views (full-text article views including HTML views, PDF and ePub downloads, according to the available data) and Abstracts Views on Vision4Press platform.

Data correspond to usage on the plateform after 2015. The current usage metrics is available 48-96 hours after online publication and is updated daily on week days.

Initial download of the metrics may take a while.